目 录
一、吸波材料概述
1、历史及发展变革
2、吸波原理和性能评价指标
3、吸波材料分类
二、暗室用吸波材料
1、难燃吸波材料
2、海绵吸波材料
3、铁氧体瓦
4、其它类型吸波材料
三、吸波材料吸波性能测量
1、低频同轴反射法
2、波导法
3、拱形法
4、RCS
测试法
四、微波暗室的结构类型和暗室设计
1、暗室结构类型
2、暗室设计准则
3、远场暗室性能评价及指标
4、矩形远场暗室设计
五、适合
移动通信的吸波材料及关键客户吸波材料应用举例
1、适合移动通信的吸波材料
2、关键客户吸波材料应用举例
3、移动通信暗室应用展望
-
历史及发展变革
吸波材料是指能有效地吸收照射到其上的电磁波能量,从而使电波反射或散射能量显著衰减的功能材料。吸波材料的研究始于第二次世界大战期间,起源于德国,由美国发展并扩展到英、法、苏联及日本等发达国家。20世纪40年代首次使用谐振型吸波材料(W.W.Salisbury 1943年提出并于9年后获美国专利)来消除测试环境干扰,40年代末角锥型吸波材料概念出现(Tiley JW首先提出并于1949年获美国专利)、70年代得到应用直到今天,经过近80年的发展吸波材料已成为独立的学科体系,专设有研究机构和生产厂家。
我国吸波材料的研究始于20世纪70年代初期,主要是武器装备研制环境保障和武器装备研制的需要,吸波涂料的开发和应用是隐身技术发展的重要精髓,是武器装备实现隐身的基石。早期开展研究的有中国电科14所、中国电科10所、中科院南京紫金山天文台和大连物化所,形成产业的有航天九院、航空材料研究院、济南53所、899厂、南京14所、南京紫台和大连中山、大连东信等单位,产品类型包含了电损耗、磁损耗和复合型吸波材料。
我国在吸波材料的发展方面与国外相比还有较大差距,还存在产品一致性差、性能不稳定、面密度高、柔韧性差、附着力低等问题,因此,急需研究各种新的吸收剂,探讨新的吸波机理以满足吸波材料所追求的“高、轻、宽、强”的目标。我们要随时关注国外在吸波材料领域的最新研究动态,加大对吸波材料的研究投入力度,这对增进我国的综合国力具有十分积极和深远的意义。
2 吸波原理和性能评价指标
吸波材料要有良好的匹配特性和衰减特性:匹配特性是指入射波最大限度地进入材料内部而不在其前表面上反射,衰减特性是指进入材料内部的电磁波能迅速地被材料吸收衰减掉。良好的匹配特性是通过采用特殊的边界条件来达到与空气阻抗相匹配;高衰减则是使材料具有很高的电磁损耗,即材料应具有足够大的介电常数虚部或足够大的磁导率虚部。
描述吸波材料性能的参数分为电性能参数和物理性能参数。
2.1电性能参数:反射损耗,频带宽度,入射角敏感性,极化特性和品质因数。
反射损耗,定义为

其中:E
i为入射波场强;E
r为反射波场强。
频带宽度是指反射损耗低于某一给定最小值的频率范围。
入射角敏感性,指反射损耗随入射角变化的依赖关系。
极化特性,指电场相对于入射平面的指向不同时反射损耗的差异。
品质因数,指吸波材料所能覆盖的最大波长与其厚度t之比,即t/λmax,此值越小表明吸波材料的性能越好。
2.2物理性能参数:安全性能,环保性能和结构性能。
安全性能,指材料在火焰点燃、电导、强微波功率照射等条件下自身燃烧不传播、不爆燃的特性,定量描述安全性能指标的参数是材料的氧指数和燃烧等级。
环保性能,指材料有无有害气体挥发、放射性危害、粉尘脱落和材料自身有无对环境造成污染的特性。
结构性能,指材料的外观坚挺平整性、锥体的形状保持性、颜色的稳定性、耐候性、抗温度冲击性能和耐介质性能。
2.3吸波机理
吸波材料它能吸收衰减入射的电波,交变的电场或磁场使介质损耗材料内部的电荷运动或磁偶极子排序,从而将电磁能转换成热能而耗散掉,吸收性能与材料的电磁特性有关。

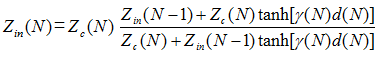
图1吸波材料结构示意图
图1为吸波材料结构示意图,图中

、

、

(K=1,2,…,N)分别为各层的相对磁导率、相对介电常数和厚度。由传输线理论,图1的吸波材料可等效为图2的电路,图2中

(K=1,2,…,N)分别为各层的输入阻抗;

为第一层吸波材料和底板之间界面上的输入阻抗,由于底板为金属板,因而有

=0。各层的输入阻抗可由下式计算

(1-1)
式中:

为各层的特性阻抗,

为各层的传输常数,且

(1-2)

(1-3)
由式(1-1)可知材料与空气分界面的输入阻抗为

(1-4)

图2 吸波材料结构的等效电路
当电波透过阻抗为

的自由空间入射到输入阻抗为

的界面上时,一部分能量被反射,另一部分能量进入吸波体。吸波体电压反射因数由下式决定

(1-5)
功率反射因数为

(1-6)
由式(1-5)和式(1-6)可知,在理想情况下,当材料的输入阻抗与自由空间阻抗匹配时,吸波体对电波无反射。
3 吸波材料分类
按照吸波机理可分为电损耗型吸波材料和磁损耗型吸波材料两大类。
吸波材料是由吸收剂、粘接剂和载体等组成,而吸收剂是决定吸波材料吸波性能的主体,直接制约着吸波材料的研制水平与工程应用效果。已有文献报道的吸收剂主要有:导电炭黑、羰基铁吸收剂、铁氧体吸收剂、金属及氧化物超细粉末、多晶铁纤维、纳米吸收剂、导电高分子、等离子体、视黄基席夫碱盐、手性吸收剂等。其中研究的比较成熟的吸收剂主要是前5种。
微波暗室用吸波材料主要有三类:电损耗型吸波材料、磁损耗型吸波材料以及复合吸波材料等,以角锥式碳吸收材料为主,铁氧体和角锥复合吸波材料为辅佐材料。微波暗室用角锥式碳吸收材料以载体不同分为难燃吸波材料和聚氨脂泡沫吸波材料两种。
锥体设计是一种使锥体底部金属板处的短路值(零输入阻抗)与吸收体顶部输入阻抗(自由空间波阻抗)相匹配的几何方法,巧妙地解决了第一界面反射的难题。
吸收剂选定后,角锥吸波材料吸波性能是吸波材料电高度和电波入射角的函数。角锥式碳吸收材料性能其基本规律如下图所示:

吸波材料垂直吸波性能

吸波材料大角度性能
1、难燃吸波材料
难燃型吸波材料是以矿石为载体的新型吸波材料,该型吸波材料除保持了聚氨脂泡沫吸波材料的吸波性能外,同时,具有大功率承载能力、安全环保、洁净卫生、结构稳定、不吸潮等特性。
难燃型吸波材料吸波原理和吸波性能测试:
难燃型吸波材料是电损耗吸波材料,为实现对
无线电波良好匹配而采用了几何锥体结构,电波垂直入射时吸波材料的波阻抗由377Ω渐变至2Ω,避免了在吸波材料前表面的反射;对进入吸波材料内部的
无线电波由于吸波材料有较好的电导率,可迅速将电磁能转换为欧姆能而将无线电波吸收衰减掉。
设吸波材料反射损耗为R,当吸波材料厚度同波长比t/λ=0.2时,R可达-14dB;t/λ=1时,R为-31dB;t/λ=7时,R为-50dB。吸波性能测试在30~600MHz采用低频同轴反射法,600~1000MHz采用波导法,1~40GHz采用RCS比较法。分析和实测结果表明:难燃型吸波材料具有良好的低频性能和大角度性能。
难燃型吸波材料安全性能:
防火性能优异:该材料为无机型载体,按照GB/T2406-93《塑料燃烧性能试验方法·氧指数法》检测材料,氧指数60%以上,符合GB8624-1997《建筑材料燃烧性能分级方法》要求,是B1级难燃材料。
可承受大功率:对于15千瓦/平方米以下的微波功率照射,无须任何通风冷却设施。火焰点燃和传播,电导和内热三项性能指标检测表明:超过美国海军三项实验NRL Report N
O8093(test 1、2 and 3)要求。
难燃型吸波材料环保性能:
按照GB/T14677-93《空气和废气监测分析方法》对暗室空气进行检测,暗室人体健康环境符合中国居住环境标准。吸波材料自身对环境无污染,无报废二次污染处理之忧,是环保型吸波材料。材料化学性能稳定,无异味,无有害气体放出,无粉末脱落、无掉色现象,不吸潮,洁净度可达10万级。
难燃型吸波材料结构性能:
吸波材料长期使用顶尖不弯曲,不垂头,寿命15年以上。吸波角锥纵横排列整齐,外观坚挺平整,锥体无弯曲,无平头;底部侧面齐平,无渣;外表洁净,色泽均匀一致,手感平滑无掉色现象。在保质期内,无龟裂、无变色、无变形现象。
难燃型吸波材料除常规不同高度的角锥型材料外,还有宽带硬质吸收地板、发散拐角、收敛拐角、通风、照明等特型材料。

难燃吸波材料

吸波灯罩 吸波通风材料
发散墙面吸波处理 收敛墙面吸波处理
吸波地板 格栅吸波走道
难燃型吸波材料是采用金属构件挂装方式进行安装的。
吸波材料的安装有粘贴、挂装和吸附式三种方式,难燃型吸波材料是挂装在金属表面上,完成安装可立即投入使用,无须粘胶挥发等待期。如果材料需要更换,非常方便。
暗室四侧墙和顶棚吸波材料采用龙骨背架挂装方式进行安装。龙骨背架结构及侧墙材料挂装如图3示,顶棚吸波材料挂装如图4示,吸波材料单元块紧固在副龙骨上。
图3、龙骨背架结构及侧墙材料挂装 图4、顶棚吸波材料挂装
2、海绵吸波材料
海绵吸波材料是以聚氨脂泡沫为载体,浸以吸收剂和阻燃剂后而成为吸波材料,具有吸波性能好、柔韧性强、易切割成型等特性,是最具历史性的吸波材料品种。
吸波性能良好:设吸波材料反射损耗为R,当吸波材料厚度同波长比t/λ=0.2时,R可达-12dB;t/λ=1时,R为-30dB;t/λ=8时,R为-50dB。
具有阻燃性能:满足美国海军试验室报告NRL8093(1977)试验I耐电压、试验II火焰点燃和传播的难易、试验III阻燃试验的要求,其氧指数可以满足一般防火要求、并能通过火灾模拟试验,而且阻燃效果持久。功率容量0.8KW/m
2,短时1.0KW/m
2。
★氧指数——≥28%,检测执行GB/T2406-93《塑料燃烧性能试验方法·氧指数法》标准;
★燃烧性——B2级可燃材料,检测执行GB8624-1997《建筑材料燃烧性能分级方法》标准。
柔韧性好:角锥外形整齐、美观洁净,柔韧可弯曲。使用温度-50℃~90℃,短时-100℃~120℃。
环保性能:所有原材料符合环保要求,主要化学成份无毒,同时采用先进配方的无机阻燃剂,无挥发无异味无毒性,长期使用阻燃性能稳定无下降。

海绵吸波材料 通风材料
两维内拐角 三维拐角

楔形吸波材料 平板吸波材料
海绵材料非常柔软,易于切割,可以采用胶粘剂或尼龙塔扣的方式安装,使用胶粘剂时用刷子将胶均匀涂于需要粘贴的两面。刚建好的暗室在前1-2年内要加强通风。
3、铁氧体瓦
通常EMC电波暗室要在低频端(即30MHz至300MHz)满足辐射干扰测试的场地要求是颇具挑战性的问题,其中最关键的问题在于吸波材料在低频范围的性能。
市场上常见的有两种不同的磁性吸波体:即薄片式和方格式铁氧体瓦。其主要成分是NiZn铁氧体,通过陶瓷工艺以获得高的磁导率和高的磁损耗角正切来保证其优良的吸波性能。通过正确设计,厚度仅几毫米的磁性吸波体在30MHz的低频端都具有很好的对法向入射波的吸收能力。
安装方法:
粘贴和螺钉固定法相结合。铁氧体瓦间安装缝隙对吸波性能影响很大,要求缝隙不能大于1mm。
为了解决铁氧体瓦高频性能差的问题,在铁氧体瓦上匹配了角锥吸波材料-复合吸波材料,实现了对电波的宽频吸收。

复合吸波材料
4、其它类型吸波材料
金属膜吸波材料 蜂窝吸波材料

橡胶载体吸波材料
吸波材料吸波性能的测量国际、国内已有标准并已使用多年,分别是IEEE Std 1128-1998《IEEE Recommended Practice for Radio-Frequency Absorber Evaluation in the range of 30MHz--5GHz》;GJB5239-2004 《射频吸波材料吸波性能测试方法》Test methods for radio-frequency absorber performance 适用范围:30MHz--18GHz的吸波材料的吸波性能测试;GJB 2038A-2011 《雷达吸波材料反射率测试方法》适用范围:0.5--100GHz的吸波材料的吸波性能测试。
1、低频同轴反射法
适用范围:本测试方法适用于在30MHz~600MHz的频率范围内对吸波材料的吸波性能进行测试。
2、波导法
适用范围:本测试方法适用于在600MHz~1GHz的频率范围内对吸波材料的吸波性能进行测试。
3、拱形法
适用范围:本测试方法用于测量吸波材料在1~40GHz、不同的入射角和极化方式下的吸波性能。
4、RCS测试法
适用范围:本测试方法用于测量吸波材料在0.5~100GHz、不同入射角和极化方式下的吸波性能。
1、暗室结构类型
自上世纪初马可尼推出电磁波传播学以来,无线电电磁波的应用得到了极大发展,无论是军用或民用都与日俱增。它广泛地应用于通信、广播、导航及雷达系统测量中。为了掌握设备或系统特性需要一个等效的自由空间环境对设备部件或系统进行测试(定性)或测量(定量)。对设备辐射的无益电磁波信号,会造成干扰或污染,这需要加以详细地了解,即设备的干扰及抗干扰能力,即电磁兼容性测试也需要测试环境保障。
总之,对无线电设备的部件,如产生电磁辐射的
天线或系统如卫星或飞行器的测量或测试都需要无反射的环境——电波暗室。对雷达目标的散射特性也需要定量测试。目前一些民用设备的部件如RFID及ITS(
智能交通系统)也需要在暗室内测试。即电波暗室要用于
天线或系统的电磁兼容性、雷达散射特性、民用特殊设备的测试或测量中。随着无线电设备的发展,逐渐建立了许多各种专用及通用的电波暗室。
电波暗室的主要作用是为待测设备的测量提供“自由空间环境保障”,暗室能在很宽的频段内得到相当稳定的信号电平,具有全天候测试和保密功能,对昂贵的待测设备和测量仪表具有保护作用,加装屏蔽后能避免外界电磁干扰和对测试人员进行防护。因此,电波暗室是一种优越的电磁测量环境,广泛应用于天线近远场测量、射频仿真、RCS测量和EMC测量等领域。
针对被测目标的不同及测试内容的不同,有各种专用及通用的暗室,大体上可分为四类:
1)天线及其系统测量暗室。这是暗室的主流。
2)雷达散射截面测量暗室。
3)电磁兼容性测试暗室。
4)其他专用测量暗室,如RFID测试暗室。
当然对每一类型暗室又有许多不同结构和适应于不同要求如:
天线测量暗室又可分为远场暗室、近场暗室、紧缩场暗室、角锥型暗室、驻波交调测量暗室。按所用频率又可分为中低频、高频、微波、毫米波。带宽又可分窄带和宽带。
电磁兼容性暗室又可分为半电波暗室和全电波暗室。
暗室按照结构和功能划分可以列表如下:
|
分类号 |
名称 |
电磁场的
场结构 |
主要
频段 |
常用
体型 |
功能和
应用领域 |
主要功能
性房间 |
|
1-1 |
天线远场
电磁波暗室 |
远场 |
射频 |
长方体
锥体
双喇叭体 |
无线电收发装备的天线性能测量 |
测控间 |
|
1-2 |
天线近场
电磁波暗室 |
近场 |
射频 |
长方体 |
测控间 |
|
1-3 |
天线紧缩场
电磁波暗室 |
紧缩场 |
射频 |
长方体 |
测控间
设备间 |
|
2-1 |
整机性能调
测电磁波暗室 |
远场 |
射频 |
长方体
正多边柱体 |
雷达、通信等电 子设备性能测试 |
测控间
设备间
试验间 |
|
2-2 |
仿真试验
电磁波暗室 |
射频 |
长方体
正多边柱体 异型体 |
电子装备设备和系统性能的仿真试验 |
|
3-1 |
雷达截面紧缩场 微波暗室 |
紧缩场 |
射频 |
长方体 |
雷达目标散射面积测量 |
测控间
设备间
试验间 |
|
3-2 |
雷达截面远场
微波暗室 |
远场 |
射频 |
长方体
锥体 |
|
4-1 |
电磁兼容
电波暗室 |
— |
10kHz~
40GHz |
长方体
异型体 |
电磁兼容性测试 |
测控间
设备间
试验间 |
|
5-1 |
强辐射电
磁波暗室 |
远场
近场 |
全频段 |
长方体 |
高能装备强辐射和防护能力试验 |
测控间
设备间
试验间 |
|
5-2 |
生物试验
电磁波暗室 |
远场
近场 |
全频段 |
长方体 |
强辐射生物试验 |
2、暗室设计准则
2.1 暗室设计依据:
1)、《暗室技术要求》甲方****年**月;
2)、甲方拟建微波暗室土建基础;
3)、国家及行业相关设计、施工、检验和验收标准规范。
2.2 暗室设计方法:
暗室设计可分为模拟法和数值法。根据初始要求,频带、静区尺寸、位置、静度要求和暗室的形状、尺寸选用合适的吸波材料。
模拟法:就是利用射线跟踪法,初步确定镜像反射位置、数量,凭经验大概可以做到静区和静度要求。
数值法:即仿真设计。根据暗室尺寸形状、吸波材料布局和全息数值(反射值的幅度和相位)计算暗室内各点的静度值,就可以得知暗室内三维的静区、静度值。对于不太复杂的暗室形状和吸波材料布局,可以做出数学模型和软件。
对于复杂的暗室形状和吸波材料布局,吸波材料全息数据(各入射角的反射系数的幅度和相位)数学模型极端复杂,编制软件工作量极大,往往做出一些简化。当然,这样也会使仿真精度变差。
对电磁兼容测试暗室:
有3米法、5米法和10米法,对半电波暗室和全电波暗室都可以根据发射天线及安置EUT位置详细计算暗室内各点的场地衰减SA。检查SA是否符合NSA要求即可。
对雷达散射截面(RCS)测量暗室:
与常规的天线测量暗室设计相类似,但要注意吸波材料散射在这类暗室中要求极高。若有各种意外的散射传播至类似单基地雷达的收发天线内将会造成很大的测量误差。这类暗室是双向传播的暗室。
另外由于雷达波长较短,而被测目标尺寸又较大,除非用缩比试验,往往远区场难以实现。这种暗室多做成紧缩场暗室。
其他类型暗室:
要按照暗室的用处来配置和设计,如用于天线驻波、交调测试的暗室,除了选用高性能吸波材料外,对屏蔽体尽量选用铝、铜等无磁滞性材料。
3、远场暗室性能评价及指标
3.1屏蔽效能:暗室对电磁能量内外隔离能力的评价指标。其定义为:
S(dB)=20 lg

E
1—无屏蔽体时,直通测量到的场强值;
E
2—插入屏蔽体时,测量到的场强值。
3.2远场暗室的性能主要由静区的特性来表征,静区的特性又以静区位置、静区大小、静区反射电平、交叉极化度、场均匀性、多路径损耗、工作频率范围等参数来表述。
静区:所谓静区是指暗室内受各种杂散波干扰最小的区域。它的大小除了与暗室几何形状、工作频率、吸收材料的电性能有关外,还与所要求的反射率电平、静区的形状及暗室的结构有关。
静区反射电平:是评价暗室模拟“自由空间环境”能力的指标,其定义为:

其中:E
D为暗室直射波入射场;
E
R为由反射、绕射和散射在测量点合成的等效反射场。
静区大小:是对提供的平面波相位锥削的约束条件;
交叉极化度:是对吸波材料极化敏感性的考核指标也是静区反射电平内在规律的又一表现形式;
场均匀性:是对提供的平面波幅度锥削和纹波的约束条件;
多路径损耗:是对暗室内电波传播路径均匀性的约束条件。
3.3天线远场测量时天线增益和副瓣测量精度同静区反射电平间数学关系:
3.3.1微波暗室保障天线增益测量时,天线增益测量误差主要是由空间驻波产生的,最大增益测量误差为:
ΔG
maxdB=20lg(1±10
(Γ/20))
式中Γ为静区反射电平
由上式计算可得:测量精度要求与静区反射电平间关系是:
|
测量精度(dB) |
1.0 |
0.5 |
0.25 |
0.15 |
0.1 |
|
Γ需求量(dB) |
-20 |
-25 |
-30 |
-35 |
-40 |
3.3.2在微波暗室中进行天线方向图测量时,由环境造成的方向图测量误差为:
ΔE(dB)=20lg(1±10
((Γ-A)/20))
式中Γ为静区反射电平
A为天线方向图副瓣电平
由上式计算可得:12dB副瓣处方向图测量误差与静区反射电平间关系是:
|
Γ(dB) |
-30 |
-35 |
-40 |
-45 |
-50 |
|
测量误差(dB) |
±1.1 |
±0.6 |
±0.35 |
±0.20 |
±0.11 |

直角坐标系下的天线方向图

暗室静区性能和天线副瓣测量精度关系表
3.4远场暗室性能检测方法
3.4.1屏蔽效能检测方法:执行GB/T12190—2006《屏蔽室屏蔽效能的测量方法》。
3.4.2暗室静区性能检测方法:执行GJB6780-2009《微波暗室性能测量方法》标准,采用“自由空间电压驻波比法(VSWR)”或“天线方向图比较法(APC)”来测量,宜优先选用“自由空间电压驻波比法”。
4、矩形远场暗室设计
矩形暗室设计的理论基础是使用满足Snell定律的几何光学法,即电磁波的波长要远小于被入射面尺寸,才能使用几何光学的射线跟踪法,图解暗室主反射区域,按照静区要求选用适合的吸波材料。
4.1暗室尺寸的选取
暗室的长度L:
对于经典的远区场,测量场要满足远区场条件

式中:D为被测天线的口径,λ为波长。
暗室长L=l+△l,△l为半个暗室宽或λmax,这是为了容纳AUT的需要,l是满足经典远区场的距离。
暗室的高H:
要保证侧墙吸波材料电波入射角不大于50°,即H(m)≥0.84l;同时,保证H(m)≥3φ+2h(φ为静区尺寸、h为顶棚或地面吸波材料厚度)。
暗室的宽W=H。
一般条件下可以选取W比H稍大1-2米,特别是对于5-6米宽的小暗室更应注意此设计。
4.2暗室菲涅尔区取值计算
由电波绕射理论知:天线室内远场测量中,微波暗室顶棚、地面和两侧墙反射面均是椭圆面,椭圆反射面长半轴aN和短半轴bN是频率、天线收发间距、暗室尺寸及几何关系等的函数,空间几何关系定义如下图所示:

_____
2a
N=R×F1×√1+F2²-2×F3
_________
2b
N=R×√(F1²-1)×(1+F2²-2×F3)
Ψ=tg‾¹(HA+HT)/R
F1=(N×λ)/(2×R)+SecΨ
F2=(HT²-HA²)/[(F1²-1)×R²]
F3=(HT²+HA²)/[(F1²-1)×R²]
式中R—天线收发间距,单位m
Ψ—反射线同反射面间的夹角,单位(°)
λ—电波波长,单位m
H
A—发射天线至反射面距离,单位m
H
T—接收天线至反射面距离,单位m
N—菲涅尔带数目,取自然数
设计师容易出现的问题:按照菲涅尔区的数值仅将暗室墙面中心区域布设为高性能材料。
4.3暗室静区性能仿真计算
微波暗室的核心指标是反射电平,其它指标本质上均与反射电平有关,反射电平大小与暗室设计技术、暗室布局、吸收材料性能及源天线的增益有关,但总体来说,最低工作频率反射电平最难达到要求。天线测试的环境干扰主要是由暗室墙体、转台、源天线支架、受试产品支架等的散射和源天线泄漏引起的。转台和受试产品支架,作特殊吸波处理来消除其散射影响。源天线泄漏由铺设在后墙的吸波材料来解决。墙体是暗室的主体,通过铺设合适的吸波材料及合理的材料布局,可使墙体的散射降低到允许的范围。
工作区反射电平的计算思路是:应用几何光学原理,设定微波吸收材料性能模拟函数(吸收性能随入射角变化)及源天线方向图模拟函数(以所提供的发射天线参数为依据进行拟合),计算暗室各壁反射电平在工作区内同相相加的最差性能,然后根据同相迭加概率得到工作区反射电平分布。
暗室顶棚、地面和侧墙的反射干扰同静区中直射波间的几何关系如下图所示:

式中:L为天线收发间距
B为暗室的高(或宽)
γ为顶棚和地面吸波材料等效反射面厚度之和
暗室顶棚、地面和侧墙反射条件下的静区反射电平为:

式中R
atφ为墙面吸波材料反射损耗(以实测数据为依据)
G
atθ为源天线方向性系数
暗室主墙反射条件下的静区反射电平应优于:

式中R为主墙吸波材料反射损耗(上式中未考虑静区至暗室主墙间电波往返的空间衰减)
暗室静区反射电平为:

暗室性能仿真计算源天线一般选用15dB中等增益标准喇叭天线。
-
五、适合移动通信的吸波材料及关键客户吸波材料应用举例
1、适合移动通信的吸波材料
在移动通信领域中的吸波材料应用主要有:天线性能(远场辐射特性、驻波、交调等)测试环境保障,产品性能提升(副瓣抑制等)等领域。
测试环境保障:
主要使用角锥吸波材料:难燃角锥吸波材料和海绵角锥吸波材料为使用主体。
在我国淮河以南的广大南方地区,特别是在珠江三角洲地区,用于移动通信天线测试的大型暗室主要采用难燃角锥吸波材料建造,主要建造单位:广州京信、广州杰赛、广东盛路、广东健博通、广东通宇、深圳摩比。主要是由于难燃角锥吸波材料不吸潮、抗弯头性能好、防火性能好,所以,得到了普遍的应用。
天线驻波和交调测试用小暗室主要使用:海绵角锥吸波材料。
室外测试场主要使用:防雨角锥吸波材料。
产品性能提升:
1)天线副瓣抑制:主要使用大孔平板海绵、吸波胶片和吸波涂料等吸波材料。
2)放大器、接收机杂散消除:主要使用吸波胶片等吸波材料。
2、关键客户吸波材料应用举例
2.1广州京信大型天线远场测量暗室,引领行业标杆10多年
“京信”微波暗室具有以下显著特点:
一是暗室静区性能指标国际一流,是当时已知矩形暗室中静区指标最高的一个。
二是暗室“长宽(或高)比”较小,电波对侧墙、顶棚和地面投射角大,不利于暗室静区性能指标的实现。
三是暗室规模大,对施工建造要求高。
2004年-2006年历时3年多完成了设计、建造、验收工作。暗室基本情况为:
微波暗室尺寸:40m(L)×20m(W)×20m(H),配置1.2m(W)×2m(H)两维屏蔽大门一樘,0.85m(W)×1.9m(H)标准屏蔽门一樘。暗室内配置配电、电源滤波、接地、空调、通风、消防及摄像系统各一套,顶部安装照明灯10盏。
吸波材料:主墙ZXB-1500型吸波材料均布,后墙ZXB-500型吸波材料均布,其余墙面ZXB-1000型吸波材料均布。
2006年4月和6月,对微波暗室屏蔽效能和吸波性能进行验收,屏蔽效能检测按照GB/T12190-90《高性能屏蔽室屏蔽效能的测量方法》进行,静区性能测试采用自由空间电压驻波比法,检测结果:暗室静区反射电平优于-46dB@0.8GHz、-49dB@1.7GHz,暗室屏蔽效能和静区性能满足技术指标要求。
2010年6月对暗室静区性能进行了复测,结果表明:暗室静区性能保持不变。
2007年-2014年8年间先后有青岛**、宜兴**和武汉**等单位设计建造了规模基本一致的大型暗室,暗室静区性能指标均未达到或超越京信暗室。
2.2广东盛路大型天线远场及10米法EMC测量多功能暗室
2014年-2015年历时2年多完成了设计、建造、验收工作。暗室基本情况为:
微波暗室尺寸:45m(L)×25m(W)×25m(H),配置3m(W)×3m(H)两维屏蔽大门一樘,1.2m(W)×2.0m(H)标准屏蔽门三樘。暗室内配置配电、电源滤波、接地、空调、通风、消防及摄像系统各一套,顶部安装照明灯24盏。
吸波材料:主墙ZXB-1500型吸波材料均布,后墙局部ZXB-1600型吸波材料均布,其余墙面ZXB-1000型吸波材料均布。
2015年6月和10月,对微波暗室屏蔽效能和静区性能进行验收,屏蔽效能检测执行GB/T12190-2006《屏蔽室屏蔽效能的测量方法》标准,静区性能测试执行GJB6780-2009《微波暗室性能测量方法》标准、采用自由空间电压驻波比法,检测结果:暗室屏蔽效能和静区性能满足技术指标要求,满足拟发布的《移动
通信系统无源天线测量方法》标准中“标准增益天线和源天线性能校准场地”的指标要求。
3、移动通信暗室应用展望
移动通信事业的快速的发展对天线的性能要求越来越高,天线设计和天线测量是天线特性研究的两个重要方面,它们相辅相成,相互影响、相互制约。作为天线测量环境保障的微波暗室近年来呈现出普及化、规范化、高性能化和系统化的特点和趋势。
3.1普及化:
我国移动通信天线产出已达全球用量的60%以上,天线生产厂家几百家,各家均有多座微波暗室,从数量上以驻波、交调测试用小型暗室数量最多,而大型暗室有规模的厂家几乎全部都有,在移动通信天线测量领域配置的微波暗室无论是质量、规模或是数量,我国均已世界领先。
3.2规范化:国标、行标的制定和执行,使得暗室设计建造有轨可循、有法可依,便利了暗室质量控制、性能的提升和风险的降低。
移动通信天线测试要求:
YD/T1059-2004《移动通信系统
基站天线技术条件》
GB/T9410-2008《移动通信天线通用技术规范》
***《移动通信系统无源天线测量方法》
吸波材料吸波性能检测方法:
GJB5239-2004 《射频吸波材料吸波性能测试方法》
GJB2038A-2011 《雷达吸波材料反射率测试方法》
屏蔽效能检测方法:
GB/T12190-2006 《电磁屏蔽室屏蔽效能的测试方法》
MIL-STD-285《美国军用标准与规范 电子试验用电磁屏蔽室的衰减测量方法》
暗室静区性能测试方法:
GJB6780-2009《微波暗室性能测量方法》
吸波材料防火性能检测方法:
GB9640-1988 《软质泡沫聚合材料加速老化试验方法》
GB/T2406-1993《模塑燃烧试验方法—氧指数试验法》
HB7043-1994 《射频无反射室防火安全大纲》
GB8624-1997 《建筑材料燃烧性能分级方法》
GB/T8627-1999《烟密度等级检测方法》
HB7068.1~7068.4-94 《射频无反射室用聚氨脂泡沫吸波材料燃烧性能试验方法》
暗室设计、建设质量标准:
GB/T18883-2002《室内空气质量标准》
GB50325-2001《民用建筑工程室内环境污染控制规范》
GJB5792-2006 《军用涉密信息系统电磁屏蔽体等级划分和测量方法》
GJB2926-1997《电磁兼容性测试实验室认可要求》
GB50017-2003《钢结构设计规范》
GB50205-2001《钢结构工程施工质量验收规范》
GB50303-2002《建筑电气工程施工质量验收规范》
GB50166-92《火灾自动报警系统施工及验收规范》
GB50116-98《火灾自动报警系统设计规范》
GB4717-1993《火灾报警器通用技术条件》
GB50222-95 《建筑内部装修设计防火规范》
GB50243-2002《通风空调工程施工质量验收规范》
sj 31470-2002《电磁屏蔽室工程施工及验收规范》
GB50826-2012《电磁波暗室工程技术规范》
3.3高性能化:
天线性能的提高客观上要求测量设备的高性能,体现在对暗室的要求主要是屏蔽效能、静区反射电平、场均匀性、多路径损耗、交叉极化和暗室残余PIM。
受吸波材料性能、造价等因素限制,高静区性能暗室设计采用了赋形思路,通过暗室形状的改变使暗室性能获得提升。
高性能暗室设计方法详见参考资料:《高性能天线远场测量暗室设计及实现》。
3.4系统化:暗室建设的高投入,高风险和不可逆性。要求暗室测量系统一体化设计、分步实施。
暗室房屋、结构的一体化设计:大型暗室体量大,暗室应采用依附式结构,这样,同样的房屋空间,可以使暗室空间最大化、总的建设费用最少。暗室消防报验是国家强制要求,大型暗室消防系统要同房屋消防系统一并设计报验。国内设计建造满意的暗室基本都是在暗室房屋设计时同步配套进行了暗室的设计,有不少单位没有这种系统性、前瞻性规划,暗室建造很不理想,教训极为深刻。
暗室和测量系统的一体化设计:随着信号处理技术和计算机技术的发展进步,软件时域门的应用在某些条件下可以显著提升天线增益、副瓣、前后比等指标的测量精度,折算为暗室静区反射电平,可以提升10-15dB。测试岛的散射减缩关系着高性能暗室的建设成败,在确保测试设备、人员安全条件下,测试岛要体积小、宜于吸波处理。源天线室或源天线更换设计应确保方便、安全,不对暗室性能产生不利影响的原则进行设计。